Конфигурационный файл chatbot.yaml
chatbot.yaml — конфигурационный файл чат-бота. Файл содержит основную информацию о конфигурации проекта, например:
- имя главного файла сценария;
- данные о подключаемых зависимостях;
- конфигурацию NLU;
- перечень файлов с тестами.
В данном разделе перечислены настройки, которые можно задать в chatbot.yaml, и их назначение.
Точка входа в сценарий
entryPoint: main.sc
Поле используется для указания файла, с которого начинается загрузка сценария чат-бота при публикации.
Файл должен находиться в папке src и обычно называется main.sc или entryPoint.sc.
require.entryPoint — обязательное поле.Имя бота
name: echo-bot
Поле задает имя бота, которое будет использовано, например, в сообщениях о публикации бота в канал. Если поле отсутствует, в качестве имени используется системное название проекта.
Настройки NLU
Диалоговый движок
botEngine: v2
Поле задает версию диалогового движка бота.
v2 позволяет использовать NLU-ядро для понимания естественного языка.
Это рекомендуемое значение поля для всех новых проектов.v2, будет использован движок первой версии v1.
NLU на этом движке возможен только при помощи паттернов.Язык бота
language: ru
Поле задает язык, на котором общается бот. Значение поля должно быть ISO-кодом нужного языка.
Пороговые значения
Вы можете указать пороговые значения:
Пороговые значения для интентов
nlp:
intentNoMatchThresholds:
phrases: 0.2
patterns: 0.2
Поля phrases и patterns в секции nlp.intentNoMatchThresholds задают пороговые значения для фраз и паттернов в интентах.
Рассмотрим поведение классификатора:
-
Пользователь отправляет запрос боту.
-
При формировании гипотез классификатор сравнивает запрос с паттернами и тренировочными фразами по отдельности. Он вычисляет вероятность для каждой из гипотез.
подсказкаГипотеза — это результат работы классификатора. Во время формирования гипотезы классификатор определяет, насколько запрос пользователя соответствует тому или иному интенту. Так классификатор выражает степень своей уверенности в том, что этот интент действительно содержит фразу или паттерн из запроса пользователя. -
Если вероятность гипотезы меньше, чем порог у
phrasesилиpatterns, эта гипотеза не учитывается при дальнейшей обработке запроса и определении стейта в сценарии.
Таким образом, intentNoMatchThresholds задает минимальную похожесть запроса на фразы или паттерны из интентов.
Чем ближе значение к 1, тем строже классификатор и тем более точные требуются совпадения.
Значение phrases и patterns по умолчанию — 0.2.
Это значение используется, если не задать другое для любого из полей.
nlp использовалась секция caila.
Она содержит поле noMatchThreshold, которое задает общее пороговое значение и для фраз, и для паттернов.
В новых проектах для корректного определения паттернов рекомендуется использовать вместо нее секцию nlp,
поскольку у классификатора и алгоритма, который вычисляет вес паттернов, могут быть разные шкалы.Пороговое значение для паттернов
Паттерны могут быть указаны в тегах q и q!. По умолчанию эти паттерны учитываются с любым весом.
Параметр patternNoMatchThreshold в секции nlp позволяет задать пороговое значение для таких паттернов:
nlp:
patternNoMatchThreshold: 0.5
Если вес совпадения с паттерном меньше этого значения, то паттерн не учитывается при обработке запроса. Чем ближе пороговое значение к 1, тем более точные требуются совпадения.
Длина $context.nBest
nlp:
nbest: 3
nbestPatterns: 1
nbestIntents: 2
Поля семейства nlp.nbest задают число правил активации,
к которым можно получить доступ из сценария через объект $context.
- Поле
nbestзадает длину$context.nBest— массива сработавших для запроса правил активации всех типов: паттернов, интентов и примеров. Значение по умолчанию —1. - Поле
nbestPatternsзадает длину$context.nBestPatterns— массива правил активации, сработавших только при помощи паттернов. Если поле не указано, то этот массив недоступен. - Поле
nbestIntentsработает аналогичноnbestPatterns, но для интентов.
Режимы регулярных выражений
Вы можете использовать регулярные выражения в сценарии с помощью $regexp и $regexp_i.
Режим по умолчанию
По умолчанию регулярные выражения игнорируют спецсимволы и знаки пунктуации до и после шаблона.
Примеры паттернов и строк, на которые они сработают:
| Паттерн | Строка |
|---|---|
$regexp<Привет> | Привет! |
$regexp<^\d+$> | + 50%. |
Понедельник $regexp<\d\d:\d\d> | Понедельник, 12:30? |
Режим точного соответствия
Чтобы включить режим, укажите эту настройку в chatbot.yaml на верхнем уровне вложенности:
strictRegexp: true
В этом режиме регулярные выражения срабатывают, только если строка полностью соответствует шаблону:
| Паттерн | Строка |
|---|---|
$regexp<Привет> | Привет |
$regexp<^\d+$> | 50 |
Понедельник $regexp<\d\d:\d\d> | Понедельник 12:30 |
Этот режим не поддерживается в следующих случаях:
-
Если вы используете регулярное выражение в именованном паттерне:
patterns:
$num = $regexp<\d+>Например, такой паттерн
$numсработает на строку100%. -
Если после регулярного выражения указан любой другой элемент паттерна. Например,
$regexp<\d+> ~товарсработает на50% товаров.
Ограничения при обработке запроса
Ограничение на длину запроса
nlp:
lengthLimit:
enabled: true
symbols: 100
words: -1
Секция nlp.lengthLimit задает ограничение на длину запросов, которые принимает бот:
enabledвключает или выключает проверку.symbols— максимальное количество символов в запросе.words— максимальное количество слов в запросе. Если указано-1, эта проверка не производится.
По умолчанию включено ограничение на 400 символов, ограничение на количество слов отключено.
lengthLimit.Ограничение на время обработки запроса
nlp:
timeLimit:
enabled: true
timeout: 500
Секция nlp.timeLimit задает ограничение на общее время, в течение которого будет обработан запрос:
enabledвключает или выключает проверку.timeout— максимальное время обработки запроса в миллисекундах.
По умолчанию ограничение включено со значением таймаута 10000 (10 секунд).
timeLimit.XML-тесты
tests:
include:
- "authorization.xml"
- "integration-tests/*.xml"
exclude:
- "broken.xml"
caseSensitive: false
XML-тесты сценариев позволяют проверить логику чат-бота, эмулируя запросы клиента и проверяя ответы от бота.
По умолчанию выполняются все тесты из файлов в папке проекта test.
Это поведение можно переопределить в секции tests, задав значения для подсекций include и/или exclude:
include— будут выполнены тесты только из тех файлов, которые попадают под шаблоны, перечисленные в этой подсекции.exclude— из выполнения будут исключены все файлы, которые попадают под шаблоны, перечисленные в этой подсекции.
Поле caseSensitive определяет, должны ли шаблоны учитывать регистр названий файлов. Значение по умолчанию — true.
Зависимости
dependencies:
- name: common
type: git
url: https://<repository>
version: heads/master
Секция dependencies позволяет задать список зависимостей проекта.
Теги действий
customTags:
- src/blocks/SumTwoNumbers/block.json
Секция customTags задает список самостоятельно созданных тегов действий, которые используются в проекте.
Пользовательские реакции
customBlocks:
- src/blocks/video.json
Секция customBlocks задает список пользовательских реакций, которые используются в рассылках.
Сообщения об ошибках
messages:
onError:
locales:
ru: Что-то пошло не так.
en: Failed on request processing.
defaultMessage: Что-то пошло не так.
# defaultMessages:
# - Извините, что-то сломалось.
# - Произошла ошибка при обработке запроса.
Секция messages.onError позволяет задать текст сообщения, которое бот отправит при возникновении какой-либо ошибки.
В подсекции locales могут быть заданы тексты сообщений, локализованные исходя из данных о пользователе.
В данной подсекции ключи представляют собой ISO-коды языков, а значения — тексты сообщений.
В поле defaultMessage указывается текст сообщения по умолчанию,
которое отправляется в случае, если секция locales не задана или в ней не задан нужный язык.
Также можно задать список сообщений по умолчанию в поле defaultMessages — тогда при ответе будет выбрано случайное из них.
messages.onError не заполнена, то в случае возникновения ошибки бот не ответит клиенту.Injector
injector:
catchAllLimit: 10
api:
protocol: https
host: example.com
port: 443
Секция injector позволяет задать параметры конфигурации чат-бота.
Заданные параметры будут доступны в скриптах чат-бота через переменную $injector.
Настройки SMTP-сервера
Секция injector.smtp позволяет задать настройки SMTP-сервера,
через который будут отправляться email-сообщений при помощи метода $mail.sendMessage.
injector:
smtp:
host: smtp.just-ai.com # Хост SMTP-сервера
port: 2525 # Порт SMTP-сервера
user: user@just-ai.com # Пользователь SMTP-сервера
password: qwerty # Пароль от SMTP-сервера
from: bot@just-ai.com # Отправитель email-сообщения
# Необязательные поля
hiddenCopy: admin@just-ai.com # Получатель скрытой копии email-сообщения
# Можно передать список получателей:
# hiddenCopy:
# - admin@just-ai.com
# - support@just-ai.com
debugMode: true # Включен или выключен режим отладки
Настройки слот-филлинга
В секции injector.slotfilling вы можете указать параметры для прерывания слот-филлинга:
injector:
slotfilling:
maxSlotRetries: 5
stopOnAnyIntent: true
stopOnAnyIntentThreshold: 0.2
stopOnTimeout: true
stopOnTimeoutValue: 3600
API-токен для тега AIAgent
По умолчанию тег AIAgent использует токен с названием LLM_API_KEY.
Чтобы использовать токен с другим названием, укажите его название в секции injector.LLM_API_KEY_SECRET_NAME:
injector:
LLM_API_KEY_SECRET_NAME: "MY_API_KEY"
Другие настройки
Возможность изменения запроса
nlp:
modifyRequestInPreMatch: true
Поле nlp.modifyRequestInPreMatch включает возможность изменять содержимое запроса в обработчике preMatch — например, редактировать текст запроса.
Токенизация слов в паттернах
tokenizeWordsInPatterns: true
Поле tokenizeWordsInPatterns включает токенизацию слов в паттернах для языков без разделителей между словами.
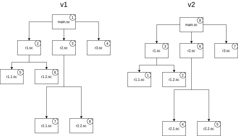
Порядок загрузки файлов
scenarioLoadStrategy: v2
Поле scenarioLoadStrategy задает порядок загрузки файлов в сценарий, состоящий из множества файлов.
Поле имеет два возможных значения: v1 (значение по умолчанию) и v2.
При стратегии v1 загрузка производится в порядке сверху вниз по дереву импортируемых файлов, а при v2 — снизу вверх.
Рассмотрим пример.
В файл main.sc при помощи тега require импортируются файлы r1.sc, r2.sc и r3.sc, в файлы r1.sc и r2.sc также импортируются по два файла.
При публикации сценария файлы будут загружены в порядке, приведенном на изображении.

Влияние расстояния до стейта на вес интента
nlp:
considerContextDepthInStateSelectionV2: false
Поле nlp.considerContextDepthInStateSelectionV2 определяет,
учитывается ли контекстное расстояние до стейта, сработавшего по тегам intent/intent! или intentGroup/intentGroup!,
когда рассчитывается вес совпадения по интенту.
true(значение по умолчанию) — расстояние до стейта учитывается при расчете веса интента и при выборе стейта, в который нужно перейти.false— вес интентов не зависит от расстояния до стейта и рассчитывается одинаково во всех стейтах сценария.